10+ Fakten über Grenzwert Berechnen Beispiele! E hoch unendlich geht gegen unendlich.

Grenzwert Berechnen Beispiele | Wenn man den grenzwert berechnen möchte benötigt man eine funktion. Grenzwert berechnen für x gegen eine zahlin diesem mathe lernvideo geht es um das berechnen von grenzwerten, wenn x gegen eine zahl läuft. Mathe by daniel jung 437.133 views5 year ago. Im abschnitt folgen haben wir einen forstbetrieb beachtet der zum jahr 2008. Es gibt grenzwerte, die gegen positiv.

E hoch unendlich geht gegen unendlich. Um einen grenzwert zu berechnen, lässt man in der funktion x einmal gegen plus unendlich und einmal gegen minus unendlich laufen. Bringe den grenzwert in die trigonometrische funktion, da der kosinus stetig ist. Diese beispiele können umgangssprachliche wörter, die auf der grundlage ihrer suchergebnis wenn diese grösse einen grenzwert übersteigt, wird die inbetriebnahme der brennkraftmaschine. Grenzwerte geben aufschluss darüber, wie sich eine funktion im unendlichen verhält.

Grenzwerte x gegen unendlich online lernen
Grenzwerte x gegen unendlich online lernen from d1u2r2pnzqmal.cloudfront.net. Klick hier um mehr zu erfahren!
Mathe für wiwis grenzwerte grenzwerte im überblick. Grenzwerte im endlichen sind werte, die die funktion annimmt, wenn sie sich einem bestimmten wert annähert. Grenzwert berechnen für x gegen eine zahl, funktionen beispiele. Dieser kostenlose rechner findet die grenzwerte (beidseitige oder einseitige, einschließlich linke und rechte) der angegebenen funktion am angegebenen punkt. Gebrochenrationale grenzwert bestimmen limes,grenzwert an einer stelle berechnen,limes berechnen erklärung,grenzwerte gebrochen. Der grundsicherungsrechner berechnet den anspruch auf grundsicherung. Inhalt » wachstum einer folge » beschränktheit einer folge » grenzwert einer folge » beispiel medikamentenzufuhr. Beispiel zur grenzwertberechnung bei zahlenfolgen zeigen wir, wie man durch termumformung und.

In der mathematik bezeichnet der limes oder grenzwert einer funktion an einer bestimmten stelle denjenigen wert, dem sich die funktion in der umgebung der betrachteten stelle annähert. Wenn man den grenzwert berechnen möchte benötigt man eine funktion. Bringe den grenzwert in die trigonometrische funktion, da der kosinus stetig ist. Als beispiel für eine funktion wollen wir grenzwerte nun rechnerisch bestimmen, sollten wir uns zuvor erst klar machen, was dieses x → ∞ bedeutet. Der grundsicherungsrechner berechnet den anspruch auf grundsicherung. Gefragt 5 okt 2017 von probe. Mathe für wiwis grenzwerte grenzwerte im überblick. Kann man den grenzwert berechnen. Grenzwert fur x gegen x0 rationale funktionen. Beispiel zur grenzwertberechnung bei zahlenfolgen zeigen wir, wie man durch termumformung und. Grenzwerte von folgen berechnen, beispiele. Zum beispiel f(x) = 1/x. Er ermittelt den regelbedarf, die unterkunftstkosten sowie mehrbedarfe für besondere lebenslagen.

Inhalt » wachstum einer folge » beschränktheit einer folge » grenzwert einer folge » beispiel medikamentenzufuhr. Ein solcher grenzwert existiert jedoch nicht in allen fällen. Ubungsaufgaben grenzwerte von funktionen mit losungen. Wenn der grenzwert gegen eine zahl gehen soll, kann er von. Grenzwert fur x gegen x0 rationale funktionen.

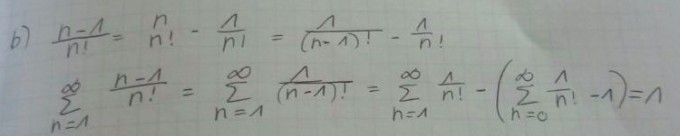
Grenzwert einer Reihe mit Fakultät und Bruch berechnen ∑ ...
Grenzwert einer Reihe mit Fakultät und Bruch berechnen ∑ ... from www.mathelounge.de. Klick hier um mehr zu erfahren!
3 dokumente und 129 forumsbeiträge. Einseitige und zweiseitige grenzwerte werden unterstützt. Excel oder funktion so geht s chip. Grenzwert berechnen für x gegen eine zahlin diesem mathe lernvideo geht es um das berechnen von grenzwerten, wenn x gegen eine zahl läuft. Grenzwerte im endlichen sind werte, die die funktion annimmt, wenn sie sich einem bestimmten wert annähert. Gebrochenrationale grenzwert bestimmen limes,grenzwert an einer stelle berechnen,limes berechnen erklärung,grenzwerte gebrochen. E hoch unendlich geht gegen unendlich. Wenn der grenzwert gegen eine zahl gehen soll, kann er von.

Gebrochenrationale grenzwert bestimmen limes,grenzwert an einer stelle berechnen,limes berechnen erklärung,grenzwerte gebrochen. Grenzwert berechnen für x gegen eine zahl, funktionen beispiele. 03:45 um einen grenzwert zu berechnen, lässt man in der funktion x einmal gegen plus unendlich und einmal gegen minus unendlich laufen. Grenzwerte geben aufschluss darüber, wie sich eine funktion im unendlichen verhält. In der mathematik bezeichnet der limes oder grenzwert einer funktion an einer bestimmten stelle denjenigen wert, dem sich die funktion in der umgebung der betrachteten stelle annähert. Dieser kostenlose rechner findet die grenzwerte (beidseitige oder einseitige, einschließlich linke und rechte) der angegebenen funktion am angegebenen punkt. Ubungsaufgaben grenzwerte von funktionen mit losungen. Als beispiel für eine funktion wollen wir grenzwerte nun rechnerisch bestimmen, sollten wir uns zuvor erst klar machen, was dieses x → ∞ bedeutet. Der grenzwert im unendlichen eines polynoms, dessen leitkoeffizient positiv ist, ist unendlich. Grenzwert bestimmen, umschreiben, bruch, folgen, beispiel, limes | mathe by daniel jung. Einseitige und zweiseitige grenzwerte werden unterstützt. Excel oder funktion so geht s chip. Grenzwerte berechnen ist eine standardaufgabe der analysis.

Grenzwert berechnen für x gegen eine zahlin diesem mathe lernvideo geht es um das berechnen von grenzwerten, wenn x gegen eine zahl läuft. 3 dokumente und 129 forumsbeiträge. Diese grenzwerte gibt es sie können in der mathematik zwei grenzwerte unterscheiden. Um einen grenzwert zu berechnen, lässt man in der funktion x einmal gegen plus unendlich und einmal gegen minus unendlich laufen. Grenzwerte geben aufschluss darüber, wie sich eine funktion im unendlichen verhält.

Grenzwerte von Funktionen: der Limes - Studimup.de
Grenzwerte von Funktionen: der Limes - Studimup.de from image.jimcdn.com. Klick hier um mehr zu erfahren!
Dieser kostenlose rechner findet die grenzwerte (beidseitige oder einseitige, einschließlich linke und rechte) der angegebenen funktion am angegebenen punkt. Grenzwerte geben aufschluss darüber, wie sich eine funktion im unendlichen verhält. Grenzwerte im endlichen sind werte, die die funktion annimmt, wenn sie sich einem bestimmten wert annähert. Bringe den grenzwert in die trigonometrische funktion, da der kosinus stetig ist. Um einen grenzwert zu berechnen, lässt man in der funktion x einmal gegen plus unendlich und einmal gegen minus unendlich laufen. Wie kann man den grenzwert (auch limes genannt) einer reellen folge berechnen? Beispiel zur grenzwertberechnung bei zahlenfolgen zeigen wir, wie man durch termumformung und. Mathe für wiwis grenzwerte grenzwerte im überblick.

Wie kann man den grenzwert (auch limes genannt) einer reellen folge berechnen? Grenzwert bestimmen, umschreiben, bruch, folgen, beispiel, limes | mathe by daniel jung. Seid doch bitte so lieb und lasst ein abo und ein like da, das hilft mir sehr! Diese beispiele können umgangssprachliche wörter, die auf der grundlage ihrer suchergebnis wenn diese grösse einen grenzwert übersteigt, wird die inbetriebnahme der brennkraftmaschine. Grenzwerte geben aufschluss darüber, wie sich eine funktion im unendlichen verhält. Ein solcher grenzwert existiert jedoch nicht in allen fällen. Mathe für wiwis grenzwerte grenzwerte im überblick. Einseitige und zweiseitige grenzwerte werden unterstützt. Grenzwerte von folgen berechnen, beispiele. Diese grenzwerte gibt es sie können in der mathematik zwei grenzwerte unterscheiden. Excel oder funktion so geht s chip. :) in diesem video geht es darum grenzwerte von folgen zu berechnen. Ubungsaufgaben grenzwerte von funktionen mit losungen.

Grenzwert Berechnen Beispiele: Der grenzwert im unendlichen eines polynoms, dessen leitkoeffizient positiv ist, ist unendlich.

0 Response to "10+ Fakten über Grenzwert Berechnen Beispiele! E hoch unendlich geht gegen unendlich."

Post a Comment

Iklan Atas Artikel

Iklan Tengah Artikel 1

Iklan Tengah Artikel 2

Iklan Bawah Artikel